河南公示2025手机数码以旧换新首批名单
AI导读:
郑州市商务局公示2025年河南省手机数码产品以旧换新活动的首批参与主体名单及线上平台名单,包括京东、小米、新华书店等9家公司线上平台和多家实体门店,旨在推动绿色消费,促进循环经济发展。
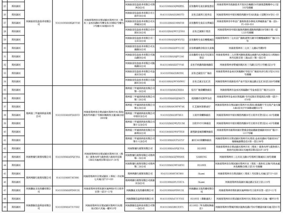
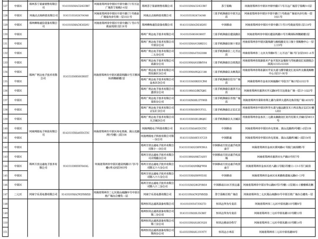
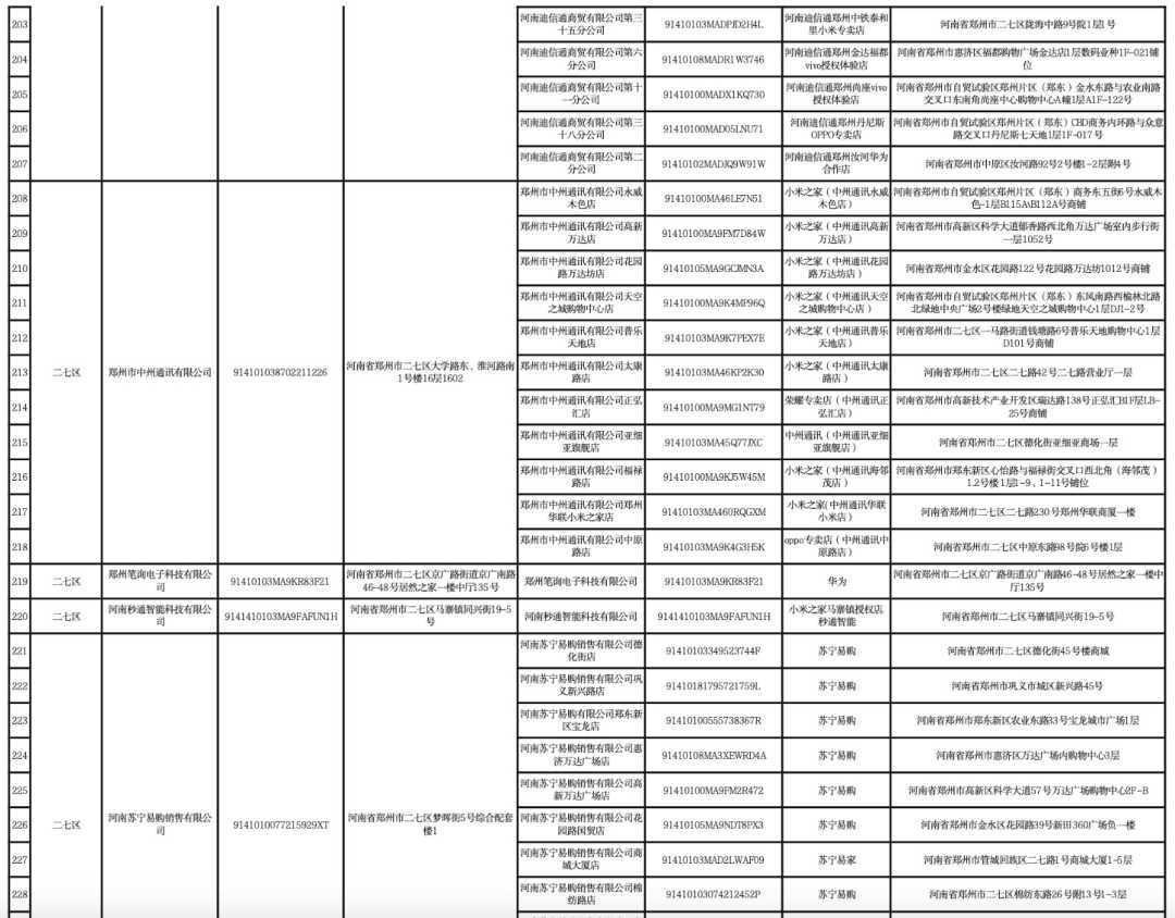
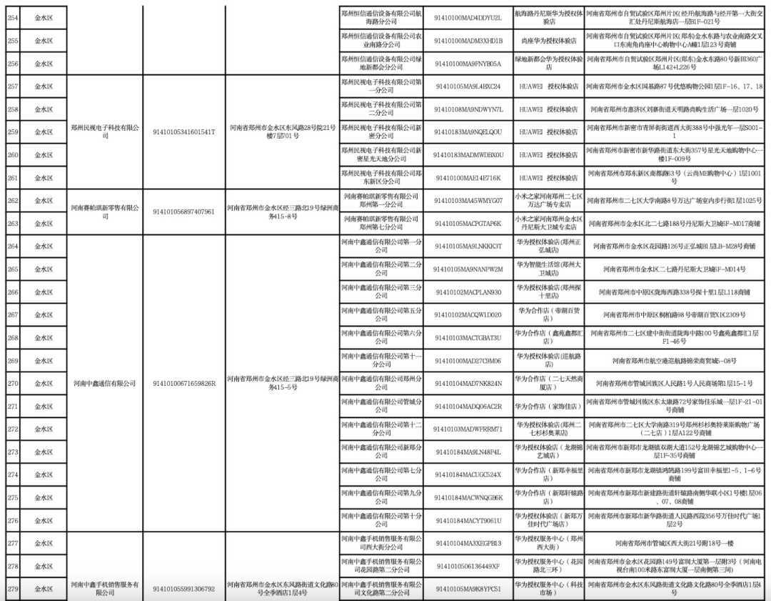
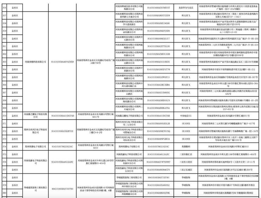
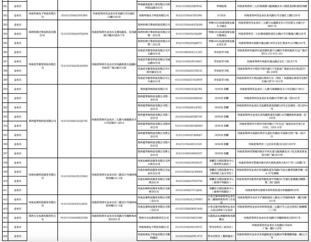
1月16日最新消息,郑州市商务局正式公示了2025年河南省手机数码产品以旧换新活动的首批参与主体名单及线上平台名单。该公示自1月16日起至1月18日止,为期三天,旨在公开透明地推进以旧换新政策的实施。
在线上平台方面,公示名单涵盖了包括郑州京东优凯贸易有限公司、河南省新华书店发行集团有限公司、郑州快手网络科技有限公司、郑州小米景明科技有限公司等在内的九家公司线上平台,这些平台将作为此次以旧换新活动的重要线上渠道。

此外,参与主体名单同样引人注目,苏宁易购白沙店、小米之家河南郑州金水区绿地新田360广场专卖店、小米之家郑东新区敬业路店、中原万达华为授权体验店、京东手机数码陇海路店等多家实体门店均位列其中,为消费者提供了丰富的线下以旧换新选择。





























此次公示不仅展示了河南省在推动绿色消费、促进循环经济发展方面的积极行动,也为广大消费者提供了更加便捷、高效的以旧换新服务。未来,随着更多企业和门店的加入,河南省的手机数码产品以旧换新活动将覆盖更广泛的区域,惠及更多消费者。(文章来源:大河财立方)
郑重声明:以上内容与本站立场无关。本站发布此内容的目的在于传播更多信息,本站对其观点、判断保持中立,不保证该内容(包括但不限于文字、数据及图表)全部或者部分内容的准确性、真实性、完整性、有效性、及时性、原创性等。相关内容不对各位读者构成任何投资建议,据此操作,风险自担。股市有风险,投资需谨慎。如对该内容存在异议,或发现违法及不良信息,请发送邮件至yxiu_cn@foxmail.com,我们将安排核实处理。

