百度发布文心大模型4.5及X1,行业巨头加速AI大模型发展
AI导读:
百度宣布正式发布文心大模型4.5及文心大模型X1,用户可在文心一言官网免费使用。两款模型能力更强,价格更低,已上线并可免费体验。同时,行业巨头纷纷加速推进AI大模型领域业务发展。
3月16日,百度宣布正式发布文心大模型4.5及文心大模型X1,用户可在文心一言官网免费使用这两款大模型。百度此次提前免费,旨在全面提升用户体验。

能力更强,价格更低
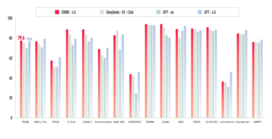
文心大模型4.5是百度首个原生多模态大模型,多模态理解、文本和逻辑推理能力显著提升,优于GPT4.5。同时,文心大模型X1为深度思考模型,不仅具备“长思维链”,擅长中文知识问答等,还增加了多模态能力和多工具调用。

两款模型均已在文心一言官网上线,用户可免费体验。企业及开发者可在百度智能云千帆大模型平台调用新模型,价格远低于市场同类产品。

行业巨头纷纷提速
今年以来,行业巨头纷纷加快推进AI大模型领域业务发展。谷歌CEO宣布开源最新多模态大模型Gemma 3,OpenAI推出全新工具包,Meta与台积电合作测试AI训练芯片。
百度方面,除了最新发布的两款大模型外,还计划6月30日正式将文心大模型开源,并在今年下半年发布文心大模型5.0。
(文章来源:中国基金报)
郑重声明:以上内容与本站立场无关。本站发布此内容的目的在于传播更多信息,本站对其观点、判断保持中立,不保证该内容(包括但不限于文字、数据及图表)全部或者部分内容的准确性、真实性、完整性、有效性、及时性、原创性等。相关内容不对各位读者构成任何投资建议,据此操作,风险自担。股市有风险,投资需谨慎。如对该内容存在异议,或发现违法及不良信息,请发送邮件至yxiu_cn@foxmail.com,我们将安排核实处理。

