下周A股限售股解禁高峰将至
AI导读:
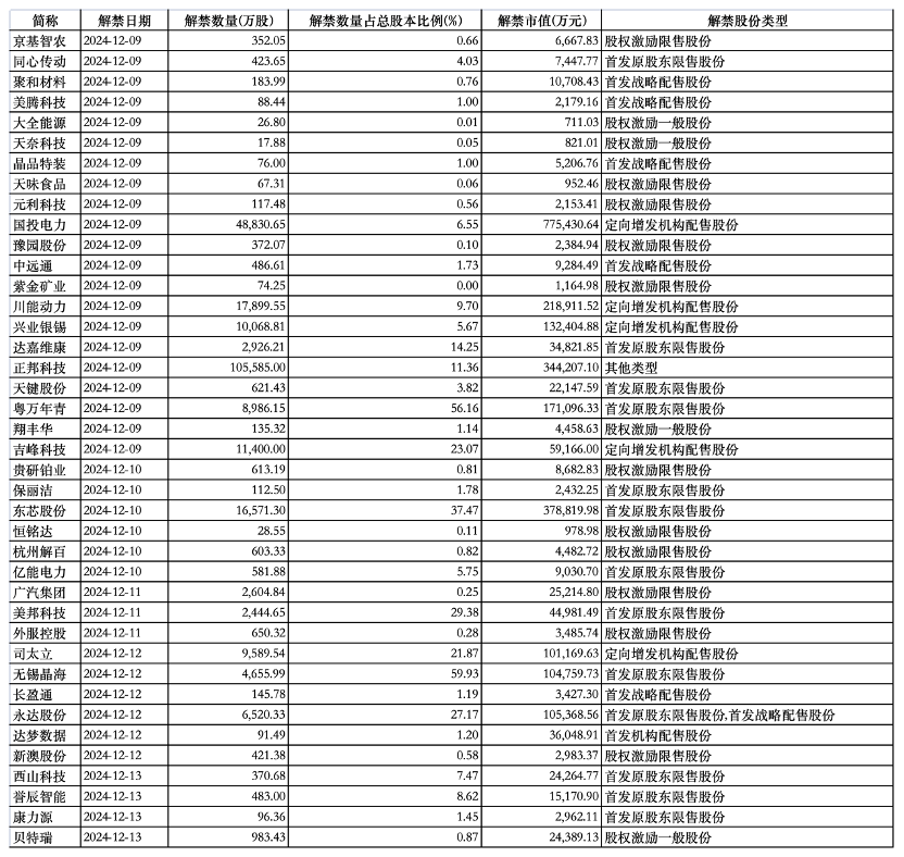
下周A股市场将迎来40家公司限售股解禁,合计解禁市值达到271.10亿元,其中12月9日为解禁高峰期,解禁市值超过181亿元。
上证报中国证券网讯(记者王彦琳)最新数据显示,下周A股市场将迎来一波限售股解禁高峰,总共有40家公司限售股将陆续解禁,涉及解禁数量高达25.63亿股。按最新收盘价估算,这些解禁股票的市值总计达到271.10亿元。特别值得关注的是,12月9日将成为解禁高峰期,当天共有21家公司面临限售股解禁,其解禁市值超过181亿元,占据了下周总解禁规模的近70%。
具体来看,按最新收盘价排序,下周解禁市值排名前三的公司分别是国投电力、东芯股份和正邦科技,它们的解禁市值分别为77.54亿元、37.88亿元和34.42亿元。这三家公司的解禁市值之和占据了总解禁市值的较大比例。
此外,从解禁数量占总股本比例的角度观察,有两家公司的解禁股数量占总股本比例超过了50%。这两家公司分别是无锡晶海(59.93%)和粤万年青(56.16%),它们的解禁比例相对较高,可能对股价产生一定影响。
就解禁股份类型而言,下周解禁的40只个股中涵盖了多种类型。其中,首发原股东限售股份有12家,股权激励限售股份有11家,定向增发机构配售股份有5家,首发战略配售股份有5家,股权激励一般股份有4家,其他类型有1家,首发机构配售股份有1家,还有1家公司同时涉及首发原股东限售股份和首发战略配售股份。

(文章来源:上海证券报·中国证券网)
郑重声明:以上内容与本站立场无关。本站发布此内容的目的在于传播更多信息,本站对其观点、判断保持中立,不保证该内容(包括但不限于文字、数据及图表)全部或者部分内容的准确性、真实性、完整性、有效性、及时性、原创性等。相关内容不对各位读者构成任何投资建议,据此操作,风险自担。股市有风险,投资需谨慎。如对该内容存在异议,或发现违法及不良信息,请发送邮件至yxiu_cn@foxmail.com,我们将安排核实处理。

