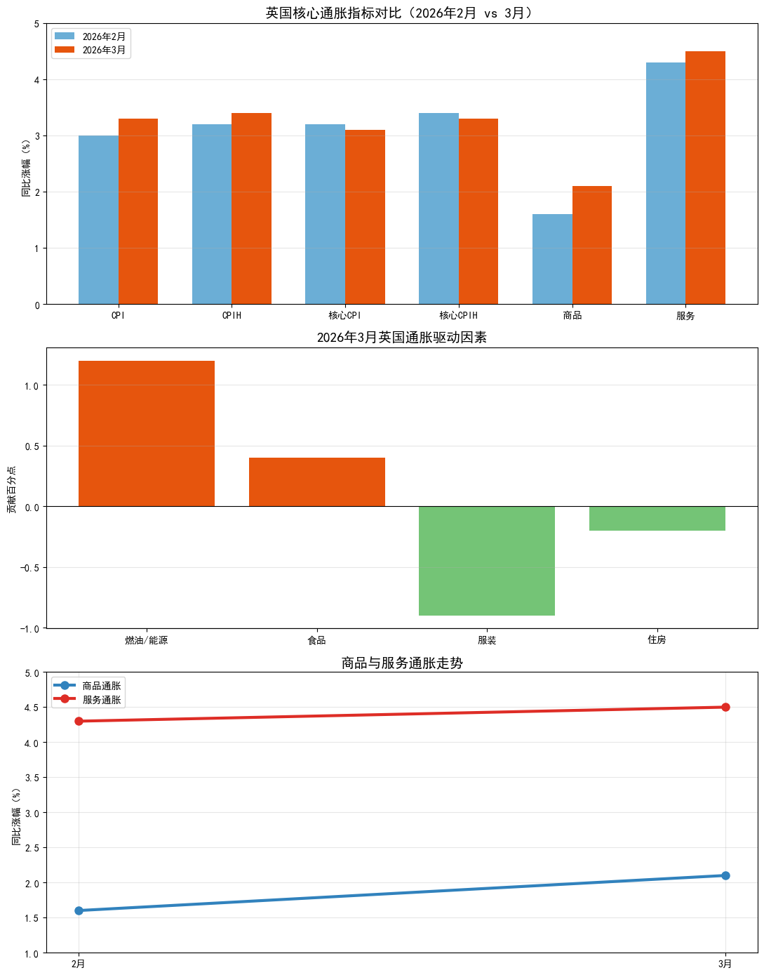
英国3月CPI同比上涨3.3%,预期上涨3.3%
AI导读:
英国3月CPI同比上涨3.3%,预期上涨3.3%。
(文章来源:财联社)
英国3月CPI同比上涨3.3%,预期上涨3.3%。
(文章来源:财联社)
郑重声明:以上内容与本站立场无关。本站发布此内容的目的在于传播更多信息,本站对其观点、判断保持中立,不保证该内容(包括但不限于文字、数据及图表)全部或者部分内容的准确性、真实性、完整性、有效性、及时性、原创性等。相关内容不对各位读者构成任何投资建议,据此操作,风险自担。股市有风险,投资需谨慎。如对该内容存在异议,或发现违法及不良信息,请发送邮件至yxiu_cn@foxmail.com,我们将安排核实处理。

