特朗普签署对等关税行政令,专家质疑其计算方法
AI导读:
美国总统特朗普签署关于“对等关税”的行政令,现场展示图表。美方公布计算公式,但税率评估依据遭到媒体和专家广泛质疑。专家指出,所谓“综合税率”计算方法无依据,完全是无中生有。
新华社北京4月3日电美国总统特朗普2日在白宫签署关于所谓“对等关税”的行政令前,现场展示了一张“对等关税”图表,详细列出了美方认定的各贸易伙伴对美征收关税的“综合税率”,以及美方计划征收的“对等关税”税率。这一举动引发了广泛关注。
那么,美国政府是如何计算出这些“对等关税”税率的?其评估依据又为何遭到媒体和专家的广泛质疑呢?
——官方公式引争议
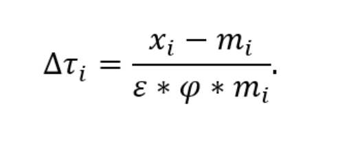
美方表示,所谓的“综合税率”是通过累计贸易伙伴对美关税税率、所谓“货币操纵”因素及其他非关税壁垒得出的一个数据。美国贸易代表办公室网站甚至公布了一个复杂的计算公式:

然而,这个公式看似复杂,美方却进行了“简化”:将两个关键系数分别设定为0.25和4,使得公式简化为综合税率等于美方出口额减去美方进口额后除以美方进口额。但这一简化过程引发了诸多争议。
有网友指出,按照这个公式大多数情况下算出来的结果应该是负数,因此美方可能是取了绝对值。然而,这样的处理方式显然难以令人信服。
基于这个“综合税率”,美方进一步“打个对折”来确定对贸易伙伴征收的“对等关税”税率。例如,美方认为欧盟、日本对美贸易实际税率分别为39%和46%,因此决定对欧盟、日本分别征收20%和24%的“对等关税”。

美国贸易代表办公室甚至在社交媒体上积极推荐这一计算方法,邀请公众访问其网站了解更多。
——专家质疑声四起
然而,专家们对这一计算方法提出了严厉质疑。美国彼得森国际经济研究所高级研究员、前财政部官员加里·赫夫鲍尔表示,特朗普政府的“对等关税”计算方法“没有任何依据”,“完全是无中生有”。
美国《纽约客》专栏记者、《大西洋》月刊撰稿人詹姆斯·苏罗维茨基也指出,白宫计算“对等关税”所依据的“综合税率”完全是“胡说八道”。他尝试用这一方法计算后发现,美国的“对等关税”税率实际上可以粗略理解为美国对贸易伙伴的贸易逆差除以美自贸易伙伴的进口总额。
例如,美国与印度尼西亚的贸易逆差为179亿美元,印尼对美出口额为280亿美元,相除后结果为64%,这与美国政府声称的经过认真评估计算的关税税率一致。这一发现进一步加剧了专家对美方计算方法的质疑。(记者:熊茂伶、徐超、林小春)
(文章来源:新华社)
关键词植入:对等关税、贸易伙伴、综合税率、专家质疑
郑重声明:以上内容与本站立场无关。本站发布此内容的目的在于传播更多信息,本站对其观点、判断保持中立,不保证该内容(包括但不限于文字、数据及图表)全部或者部分内容的准确性、真实性、完整性、有效性、及时性、原创性等。相关内容不对各位读者构成任何投资建议,据此操作,风险自担。股市有风险,投资需谨慎。如对该内容存在异议,或发现违法及不良信息,请发送邮件至yxiu_cn@foxmail.com,我们将安排核实处理。

