中国能化现货估价指数波动 反映行业趋势
AI导读:
截至2025年7月9日,中国能化现货估价指数上涨,石油行业涨幅显著,天然气行业微涨,化工行业下跌。指数监测石油、化工行业典型产品,反映市场价格变化及行业趋势。
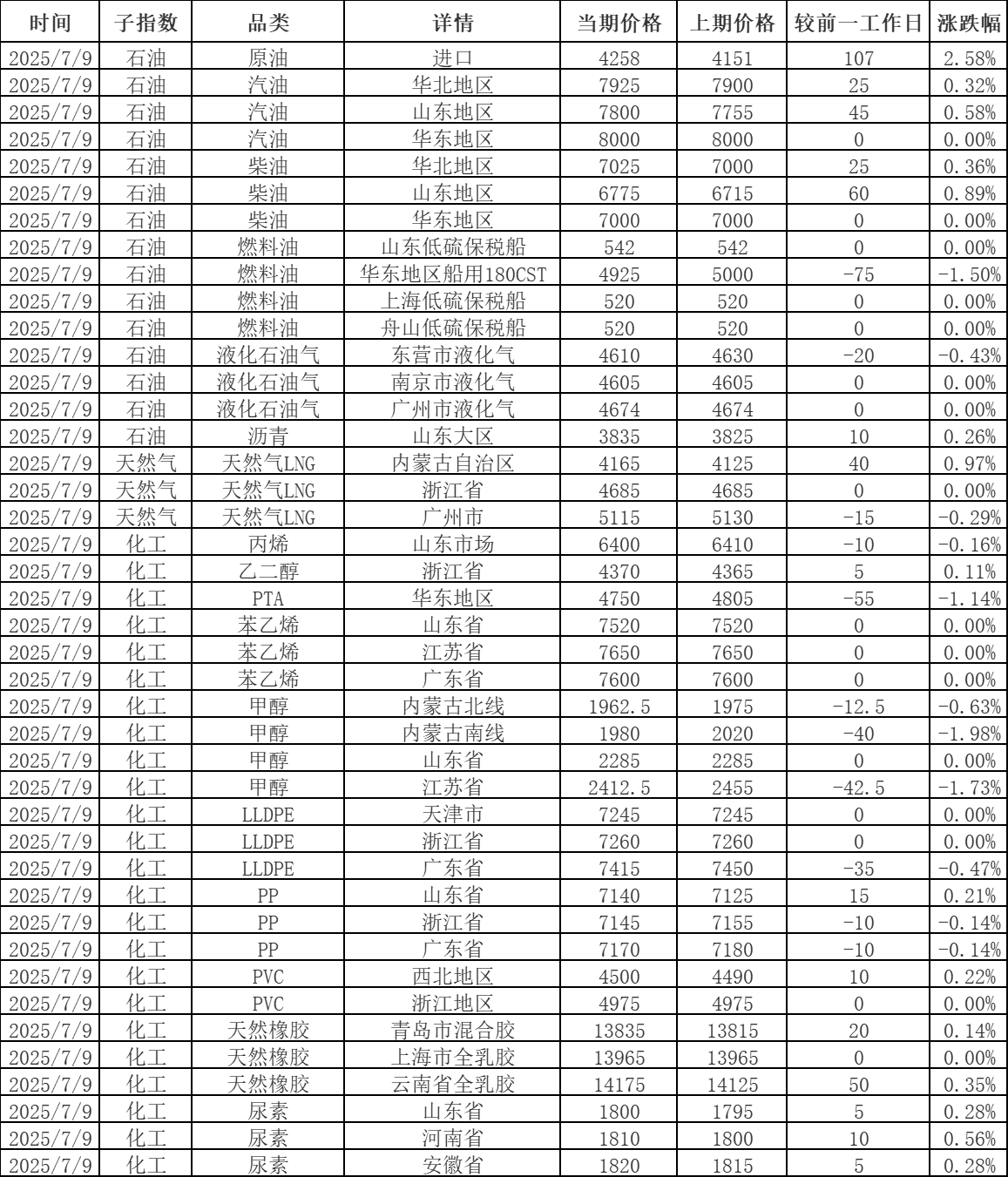
新华财经北京7月9日电(郑大伟、吕世阔)截至2025年7月9日,中国能化现货估价指数报897.96点,较前一工作日上涨3.35点,涨幅为0.37%,较基期(2024-07-02)下跌102.04点,跌幅为10.20%。其中,石油行业估价指数报897.50点,较前一工作日上涨8.25点,涨幅为0.93%;天然气行业估价指数报1012.12点,较前一工作日上涨1.99点,涨幅为0.20%;化工行业估价指数报870.00点,较前一工作日下跌2.44点,跌幅为0.28%。本期汽油、柴油估价普遍上行,化工产品估价多呈下行走势。

图为中国能化现货估价指数走势图
表为中国能化现货监测估价情况(单位:元/吨)

中国能化现货估价指数由新华指数研究院、金联创网络科技有限公司、中国价格协会数据价格专业委员会共同推出,监测石油、化工行业表观消费量大、行业影响力强、市场活跃度高的十七种典型产品,覆盖华北、华东、华南等代表性区域市场。指数采用的评估价格数据集融合了市场询价、报价及成交数据,旨在利用更全面的信息化手段精准刻画能化市场价格变化情况,为交易提供基准参考,反映行业发展趋势,助力投资者把握市场脉搏。
(文章来源:新华指数)
郑重声明:以上内容与本站立场无关。本站发布此内容的目的在于传播更多信息,本站对其观点、判断保持中立,不保证该内容(包括但不限于文字、数据及图表)全部或者部分内容的准确性、真实性、完整性、有效性、及时性、原创性等。相关内容不对各位读者构成任何投资建议,据此操作,风险自担。股市有风险,投资需谨慎。如对该内容存在异议,或发现违法及不良信息,请发送邮件至yxiu_cn@foxmail.com,我们将安排核实处理。

